

地址:北京市密云区高岭镇政府办公楼
王经理 13393261468
Q Q:514468705/1049705527
邮箱:jhcxkj@163.com
在《UPS运用》杂志上看到一篇文章,叙述在工业范畴内UPS的运用。文章详细剖析阐明晰各种UPS的供电电路,对运用UPS的工业范畴很有含义,值得一读。自个也曾接触过工业范畴运用UPS以及运用过程中的某些疑问,对这些疑问也很有爱好,在此谈谈一些观点。
  
  在上述文章所罗列的各种电路中都有一个特色,那即是运用的UPS都带有输出阻隔变压器(所谓的工频机),而旁路也都装有阻隔变压器。咱们就能够从这儿说起。
  
  图1即是该文中所示电路中的最简略的一个。
  
  工业用UPS从原则上来讲,能够分成两种:一种是为生产过程中的电气设备供电的,这种UPS的选用要看详细的设备而定,并且UPS的容量都很大,有的就选用动态UPS,对这一种运用UPS的状况此处不做剖析。另一种则是在工业自动化控制过程中所用设备、器材的电源运用UPS。如发电厂运用的计算机监控体系、数据收集体系、主要的机、电、炉维护体系等就需求运用UPS。又如在石化工厂常常运用的散布控制体系(DCS)也是如此。那里有一些检测压力、温度、流量等检测外表、调理外表、控制阀和泵等履行器材。关于此类设备、器材的电源的牢靠性请求是很高的,否则会构成生产过程失调,乃至瘫痪。例如某石化工厂的DCS体系运用的UPS因市电电源中止,而电池中有一块电池损坏放不出电,DCS体系不能作业,构成生产过程瘫痪。一块电池很简略更换,但生产过程设备的整理康复却用了三天时刻,损失惨重。
  
  这儿评论的是在工业范畴中第二种状况下运用的UPS。这一类UPS与通常数据中心运用的UPS有许多不相同的特色。
  
  这类UPS的第一个特色是负载与市电电源彻底阻隔。为了防止市电的任何*影响负载的安稳作业,有必要把负载与市电彻底阻隔。这就需求UPS有输出阻隔变压器,并且旁路输入也需求通过一个阻隔变压器,以确保在旁路作业时也能与市电阻隔。这么,在负载侧就构成了一个独立的体系,有自个的接地或者是不接地的悬浮体系。
  
  从UPS来看,满意这种负载的请求,输出阻隔变压器是有必要的,而不是额外的。假如选用不带输出阻隔变压器的UPS,就需求外加输出阻隔变压器,是否能满意负载需求,那就要由用户来断定了。
  
  这类UPS的第二个特色是负载常常请求单相电源供电,需求选用三相输入/单相输出型的UPS。这对UPS来说疑问不大,由于所需UPS容量不大,常常是100kVA摆布。可是关于旁路来说,即是一个值得探讨的疑问了。旁路阻隔变压器用什么样的呢?用三相输入/三相输出,显然是不合理的,只单相带载,既糟蹋又极不平衡。用单相220V输入/单相220V输出,也很不平衡。比较好的方法是用单相380V输入/单相220V输出。这么在电源侧的平衡程度要好一些。变压器的容量能够按UPS容量来挑选。电源的容量需求按两相有电流的巨细来思考。此外还有双变压器计划、Scott变压器计划、三相五柱变压器计划等,但都不如单相380V输入/单相220V输出的计划简略。
  
  而在市电电压很不安稳或*较大时,为了在旁路作业状态下,对负载不产生*,需求在旁路阻隔变压器的后边,再加上稳压器,以确保负载牢靠安稳地作业。这也是常用的一种供电电路。
  
  关于发电厂和变电站用的UPS,在直流环节还要有特别的请求。由于发电厂中有强壮的直流体系,用来为继电维护体系和高压开关的驱动装置供给电源。这个电源有必要十分牢靠,否则会构成体系的失调,变成重大事故。由于有了这个直流电源,UPS就不需求单独建立自个的直流电源,而是运用公共的直流电源。这么就带来两个疑问:一是UPS的直流电压需习惯公共的直流电压,通常发电厂的直流电源电压是220V,因而UPS的直流电压要与这个电压相匹配。另一个疑问是公共直流体系容量很大,有自个的充电电源,不需求UPS充电,电池只为UPS放电用。所以在电池与UPS直流母线之间要添加防反二极管。发电厂自个的直流体系非常主要,专门有对地绝缘请求,因而请求UPS直流与沟通电源之间有必要阻隔。这么就在UPS的沟通输入端添加阻隔变压器。这个变压器一起也为直流电压所需数值供给了便利。平常UPS的直流电压略高于电池组的电压,电池对UPS不能放电。
  
  UPS失去沟通输入时,电池给UPS放电。这个电路如图2所示。
  
  此外,工业用UPS在维护等级的请求上与通常UPS也有所不相同。通常的UPS所处环境比较好,温度、湿度、尘土度都能满意UPS的需求。因而维护等级多为IP20。而工业用UPS所处的环境往往是比较差的。因而对UPS来说,它的维护等级就要高一些。有的乃至要防水滴、通风口要加过滤网等。
  
  从以上介绍能够看出,工业用UPS供电电路关键是需求与市电电源阻隔,而对UPS来说就要有输出阻隔变压器。这个变压器有三个功用:一是阻隔,二是变压,三是滤波。关于前两个功用现已介绍过,不再赘述,下面阐明其滤波功用。
  
  无论是带变压器的全波逆变,仍是不带变压器的半波逆变,其根本作业原理是相同的。都是选用IGBT功率器材,以脉冲宽度调制(PWM)的调理方法作业。其输出都有必要有滤波环节,这个滤波器应该是低通滤波器。图3和图4分别是这两类UPS的有些电路图。
  
  
从图3能够看出这个滤波电路是串联电感和并联电容构成的。可是有变压器的UPS就不需求串联电感,它是运用变压器的漏磁电抗完结的,再外加电容构成滤波电路,如图4所示。变压器是两个绕组相互耦合实现变压的,由于两个绕组都有各自的不相互耦合的漏磁,这就构成串联在电路中的漏磁电抗,这恰恰是滤波的需求。该变压器的参数请求,有必要满意按照滤波请求的电抗数值,这就与通常的变压器不相同了。
  
  关于三相变压器,其绕组通常选用Δ/Y接线,其原边选用三角形接线,是由于这么能够消除3次及3的倍数次谐波,这是由于三相3次谐波是同相的,它们在三角形绕组中能够环绕而消除,在副边就不呈现3次及3的倍数次谐波。关于全部滤波是有利的。
  
  该变压器还有一个容量疑问,这如同不是疑问,只需满意UPS输出容量请求即可。可是,笔者却见到过两个不相同厂家,同一容量的UPS却有着不相同容量的输出变压器。同一台10kVA的三相输出的UPS。输出电压为380V,负载功率因数为0.8。有一厂家是选用10kVA的变压器,另一家却不是10kVA。变压器容量可按照下列计算求得。
  
  咱们知道变压器后边有滤波电容,它可滤掉高频脉冲,关于50Hz频率来说是一个固定电容支路。也即是说这个电容是并联在输出电压上的,正常时就有一个容性电流流过。它与负载电流一起由逆变器经变压器的电流承当,如图5所示。
  
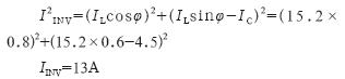
  关于咱们介绍的UPS来说,每个滤波电容是22μF,三相做三角形衔接。每相电容的容抗为XCΦ。计算得XCΦ=144.8Ω。每相电容电流为ICф=380/144.8=2.6A。电容电流IC=1.73×2.6=4.5A。
  
  UPS额外负载电流为
  
  图6是简化电路图,图7是其相量图。
  

  逆变器经变压器的输出电流是
  
  变压器容量为ST=1.73×380×13=8.6kVA。也即是说用一台8.6kVA的变压器就能够满意UPS输出10kVA的需求。当然,在实践挑选时,还须思考高频电流、过载才能等疑问。笔者就曾见过一台100kVA的UPS的输出变压器铭牌的容量是88kVA。
  
  当然,这是在额外状况下(如上例,IL=15.2A、cosφ=0.8),断定UPS内部器材的参数。以此来挑选功率器材,制作UPS。在负载不是额外状况时(cosφ为别的数值),是以逆变器电流不超越断定数值(如上例,IINV=13A),来断定负载的巨细(IL的数值),即UPS的带载才能与额外值会有不相同。
  
  笔者见过一家厂商用10kVA的变压器,另一家用小容量的变压器,后来用大容量变压器厂家也改为用小容量的了。当然变压器的容量要多大,这与UPS的负载功率因数、脉宽调制频率、滤波电容的巨细以及UPS设计的输出功能等要素有关,而不是千人一面的。可是这通知咱们一个事实,那即是用最小的投入以获得最大的收益是厂家的制作理念。这么的案例在UPS产品中仍是多处可见。咱们不能一见到这种如同不合理的状况,就简略地认为是厂家以小替大、以次充好,而应仔细剖析。
  
  上面是研讨工业用UPS时,剖析了UPS的输出变压器。当然这关于非工业用的UPS也是适用的。
关键词:ups电源参数http://www.mqste.com/list-3-1.html